发布日期:2026-03-15 来源:科普中国
很多人晚上翻来覆去睡不着,半夜频繁觉醒,醒来后浑身燥热,总觉得是“失眠”,其实未必——很可能只是卧室或被窝的温度没调对。
当身体核心体温降不下来,大脑就会一直保持“清醒模式”,而温度正是调节体温节律、影响睡眠质量的关键开关。

温度如何“操控”你睡眠的?
人体核心体温在 24 小时内呈现规律性波动。昼夜体温节律是由生物钟控制的,表现为凌晨 3-5 点体温最低(约 36.0-36.5°C),傍晚 16-18 点最高(约 37.0-37.5°C),波动幅度 0.5-1.0°C。
入睡前两小时体温开始下降,这个过程是通过血液流向手脚等末梢部位散热实现的,并且与睡眠激素褪黑素的释放同步。
核心体温下降和褪黑素分泌增加是身体发出的“准备睡觉”信号。睡眠期间体温继续下降,在清晨达到最低点,然后逐渐回升。一旦环境温度打破这个节律,睡眠就会被直接干扰。
1
太热:让你“热醒”又“睡不深”
卧室温度高会阻碍身体散热,核心体温降不下来,大脑就难以进入睡眠状态,导致入睡时间延长。卧室温度较高还会减少慢波睡眠(深睡眠)和快速眼动睡眠(REM),导致夜间频繁觉醒。在 REM 睡眠期(做梦期),大脑高度活跃,但身体肌肉处于几乎瘫痪的放松状态,无法通过发抖或出汗来调节体温,完全“受制于”外界温度,所以会对环境温度变化更加敏感。
因此,如果卧室环境温度过高,会缩短 REM 睡眠期的时长。REM 睡眠对情绪调节至关重要,REM 不足会让第二天更容易烦躁、情绪波动。
一项涵盖 68 个国家、47000 名成年人、超过 700 万条睡眠记录的研究显示,当夜间温度超过 30°C 时,平均睡眠时间减少超过 14 分钟。
女性和老年人对夜间气温升高的反应更明显;而负担不起空调的人群,会受到更大的负面影响。
2
太冷:让你“冷醒”又“睡不安”
凉爽的卧室环境有助于促进体温下降,使人更容易入睡并保持睡眠状态。
但过低的温度会让身体持续产热以维持体温,肌肉无法完全放松,不仅容易在半夜被冻醒,还会降低睡眠效率,让你即使睡够了时间,也觉得疲惫不堪。
“最佳睡眠温度”是多少?
没有一个温度能适配所有人,但科学研究已经给出了清晰的参考范围,你可以根据自身感受微调。
1
卧室室温:决定能否一夜安睡的关键
美国国家睡眠基金会(National Sleep Foundation)建议,理想的卧室睡眠温度在 15.6-19.4℃。也有研究指出,18-21℃ 是更容易被接受的范围。在这个区间内,人体能建立最佳的睡眠皮肤微气候(31-35°C)。
随着年龄增长,核心体温比年轻时略低,因此需要更温暖的环境。2023 年,美国辛达与亚瑟·马库斯老年研究所历时一年半,通过对 50 名65 岁以上老人进行睡眠监测,分析了总计 11000 个夜晚的睡眠数据后发现:
当卧室温度保持在 20 至 25℃ 时,睡眠质量达到最佳状态。其中 20℃ 被证实为最佳温度,此时有效睡眠时长达到峰值,翻身次数最少。当室温升至 30℃ 时,睡眠效率会骤降 5%-10%,夜间躁动明显增加。
但需要注意的是,卧室的最佳温度存在显著的地域和个体差异。不要执着于某个具体温度数字,应该关注自己的感受。如果入睡时觉得燥热、醒来时出汗,说明温度偏高;如果蜷缩着身体、手脚冰凉,就是温度偏低了。

2
被窝微气候:被忽略的“隐形热源”
影响睡眠舒适度的不只是室温,床上微气候同样至关重要。床品带来的闷热感比环境温度更隐蔽,对体感的影响却更显著。
被子覆盖形成的空气层,温度通常比室温高出 3-5℃。不同床品在最冷与最热条件下的保温值差异可达1.32 clo(保温单位)。每 1 clo 的保温变化,约相当于 5.3℃ 的室温变化,1.32 clo 的差异相当于约 8℃ 的室温调节范围。
当床品与室温匹配,达到“不冷不热”的热中性状态时,睡眠效率最高、深睡眠占比最大。偏离这个状态越明显,睡眠质量越差。在 16℃ 至 24℃ 的室温范围内,人会通过蜷缩、调整被子松紧、伸出或收回四肢等无意识动作,自动调节以接近热中性状态。
床垫表面温度达到 32℃ 时,睡眠满意度明显下降,入睡时间延长,夜间更容易觉醒。厚重不透气的被子、散热差的床垫、闷热的枕头,都会锁住热量,持续抬升体感温度,破坏睡眠质量。

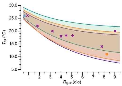
上图展示了不同材质被子在不同室温下的热舒适区域,X轴表示被子保温值(Rquilt, clo),Y轴表示空气温度(Tair, ℃)。不同颜色的曲线代表不同材质被子的舒适边界——曲线上方区域过热,下方过冷。紫色线条为聚酯纤维被,保温值范围最宽,但舒适温度随保温值增加下降最快。青色为丝绸被,舒适温度最高,曲线最平缓。橙色为羽绒被,保温效率最高,舒适温度下降较缓。
床品推荐
北方有暖气地区,推荐羽绒被(2-3 clo)或中等厚度聚酯纤维被(3-4 clo),利用其平缓的舒适曲线,可以避免夜间过热。
南方无暖气地区(冬季室温10-16℃)推荐高保温聚酯纤维被(4-6 clo)或厚羽绒被(3-5 clo);夏季空调房推荐薄丝绸被(1-2 clo)或空调被(1-1.5 clo)。
3 个技巧
把卧室变成“助眠空间”
1.调对温度,选对床品:根据季节调整室温(老年人可略高),优先让体感舒适;选择透气、轻薄的床品,避免过度保温,让身体能自然散热。
2.睡前“降温”,助力入睡:入睡前 1-2 小时可以洗个温水澡,之后身体会自然散热,核心体温下降,更容易产生困意;避免睡前剧烈运动,减少身体产热。
3.关注夜间温度变化:如果夜间容易热醒,可以尝试使用透气的夏凉被或调低空调温度;如果容易冷醒,可在脚边放一个暖水袋,让身体末端先暖起来,帮助维持睡眠状态。
最后想提醒大家,很多时候“睡不着”不是病,而是身体在提醒你——环境没准备好。从调整温度开始,或许就能找回一夜好眠。
参考文献
[1]Minor K, Bjerre-Nielsen A, Jonasdottir SS, Lehmann S, Obradovich N. Rising temperatures erode human sleep globally. One Earth. 2022;5:534-549
[2]Raj A, Ruder M, Rus HM, Gahan L, O’Mullane B, Danoff-Burg S, et al. 1214 higher bedroom temperature associated with poorer sleep: Data from over 3.75 million nights. Sleep. 2020;43:A464-A464
[3]Harding EC, Franks NP, Wisden W. The temperature dependence of sleep. Front Neurosci. 2019;13:336
[4]Baniassadi A, Manor B, Yu W, Travison T, Lipsitz L. Nighttime ambient temperature and sleep in community-dwelling older adults. Sci Total Environ. 2023;899:165623
[5]Akimoto M, Shinoda J, Bivolarova MP, Tanabe S-i, Wargocki P. Effect of bedding on total thermal insulation in different sleeping postures measured with thermal manikin and modelled with jos-3. Building and Environment. 2025;279:113074
[6]Zheng Q, Yan F, Wang H, Ke Y. Effects of quilts on comfortable indoor temperatures and human thermal responses during sleep. Indoor Air. 2022;32:e13122
[7]Haghayegh S, Khoshnevis S, Smolensky MH, Diller KR, Castriotta RJ. Before-bedtime passive body heating by warm shower or bath to improve sleep: A systematic review and meta-analysis. Sleep Med Rev. 2019;46:124-135
策划制作
作者丨赵伟 天津大学泰达医院神经内科主任医师 中国睡眠研究会睡眠障碍专委会 青年委员
审核丨董霄松 北京大学人民医院呼吸睡眠医学科 主任医师
李旭 中国科学技术大学副教授、中国生物化学与分子生物学会会员
策划丨钟艳平
责编丨钟艳平
审校丨徐来、张林林
本文封面图片及文内图片来自版权图库
转载使用可能引发版权纠纷
- 评论


